Tentech é uma empresa global de equipamentos estéticos
que oferece soluções completas de lifting premium
Criação e inovação são outros nomes da Tentech.
A Tentech está constantemente se desafiando através de investimentos contínuos e agressivos em P&D todos os anos.
2025
2025.12.
Recebemos a Certificação CE (UE) para o 10THERMA
2025.11.
Recebemos a Certificação TGA (Austrália) para o 10THERMA
2025.09.
Recebemos a Certificação COFEPRIS (México) para o 10THERMA
Recebemos a Certificação MDSAP para o TENTECH
2025.08.
Lançamos o 10TRIPLE, um dispositivo HIFU de 3 linhas
2025.04.
As vendas acumuladas do 10THERMA ultrapassaram 1.100 unidades
10THERMA e 10THERA receberam certificação da ANVISA (Brasil)
10THERMA recebeu certificação da CDSCO (Índia)
2025.03.
Assinatura de contrato no valor de US$ 56,5 milhões na KIMES 2025
10THERMA recebeu certificação da TFDA (Tailândia)
10THERA recebeu certificação da FDA (Filipinas)
2024
2024.12.
Certificação COFEPRIS (México) para 10THERA
Assinado acordo de distribuição exclusiva para 10THERMA na Ucrânia
Vendidas 170 unidades do 10THERMA em Taiwan
2024.11.
Certificação SMDR (Singapura) obtida para 10THERMA
Assinado acordo de distribuição exclusiva para 10TRIPLE em Taiwan
2024.10.
Assinado acordo de distribuição exclusiva para 10THERMA na Índia
2024.09.
Vendas acumuladas do 10THERMA ultrapassaram 800 unidades
2024.08.
Primeira remessa do XTHERMA (10THERMA) para os EUA concluída
2024.06.
Assinado acordo de distribuição exclusiva para 10THERMA nos EUA
2024.05.
Certificação do Ministério da Saúde (Emirados Árabes Unidos) obtida para 10THERMA
Certificação MDA (Malásia) obtida para 10THERMA
Certificação TGA (Austrália) obtida para 10THERA
2024.04.
Certificação TGA (Austrália) obtida para 10PL
2024.03.
Certificação do Ministério da Saúde (Indonésia) obtida para 10THERA
Vendas acumuladas do 10THERA ultrapassaram 500 unidades
Vendas acumuladas do 10THERMA ultrapassaram 700 unidades
Lançamento oficial do 10THERMA em Taiwan
Certificação SFDA (Arábia Saudita) obtida para 10THERMA
2024.01.
Certificação do Ministério da Saúde (Vietnã) obtida para 10THERA
Certificação TFDA (Tailândia) obtida para 10HI
Certificação MDA (Malásia) obtida para 10THERA
2023
2023.12.
Dez de 2023 Obtido o Certificado FDA (EUA) para 10THERMA
Dez de 2023 Obtido Certificado TFDA (Taiwan) para 10THERMA
2023.10.
Out de 2023 Vendas de 10THERMA ultrapassaram 500 Unidades
2023.09.
Set de 2023 Vendas de 10THERA ultrapassaram 400 Unidades
Set de 2023 Lançado REGEVAN PN, um potencializador de pele que usa truta de fazenda
2023.08.
Ago de 2023 Obtido Certificado FDA (Tailândia) para 10THERMA&10THERA
2023.07.
Jul de 2023 Mudança para um novo escritório em Gangnam
2022
2022.10.
Lançamento de 10 THERMA
2022.05.
Selecionado como projeto governamental como "Desenvolvimento de medicina eletrônica OLED vestível para tratamento da doença crônica inflamatória da pele" pelo Ministério da Saúde
2021
2021.08.
Certificado Máscara LED Dr.Oracle - MFDS
Certificado Tenhi CVC
Certificado Onethera CVC
2020
2020.09.
Certificado Filler Médico CE
2020.06.
Certificado 10 THERA pelo MFDS
2020.05.
Lançamento de 10 THERA
2020.04.
Lançamento do Regevan 71, Regevan C, Regevan S
2020.03.
Lançamento da Máscara LED Dr.Oracle
2020.02.
Lançamento do Tenhi e Onethera
2018
2018.04.
Lançamento do 10 mono
Lançamento do Tone up Fill
2017
2017.10.
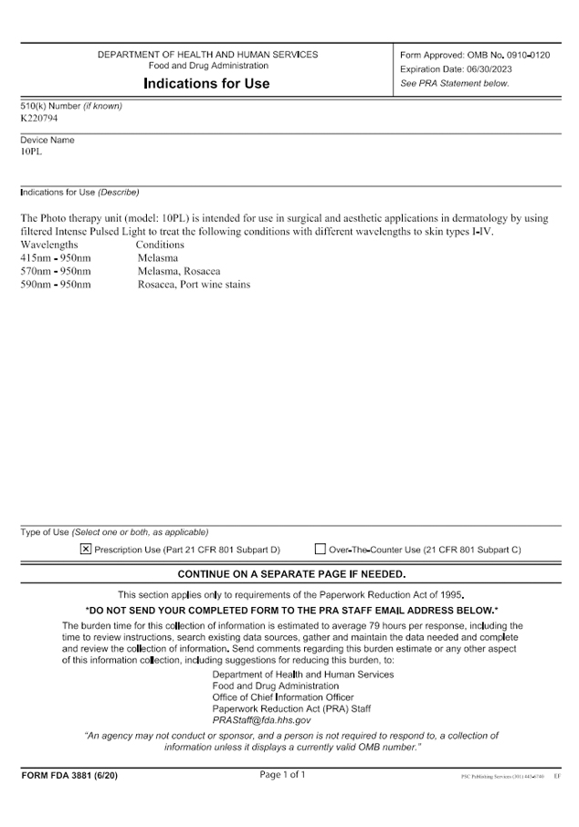
Lançamento de 10PL
Matriz na
Coreia
Bongeunsa-ro,
Gangnam-gu, Seoul,
中国
分公司
通国际大厦1009,1010室
手机 : 131 6274 7888
日本の
支社
Fax : +81355666080
Feira

Criação,
Inovação
e Desafio
Não escolheremos o caminho fácil.
Mesmo que seja difícil, andaremos ao caminho necessário.
O investimento em P&D é a força por trás da criatividade e inovação. A Tentech realiza isso através de investimento contínuo em P&D todos os anos.
O primeiro HIFU de 2 linhas da Coreia, o primeiro IPL fracionário da Coreia, HIFU de pulso longo, ultra-som com nanobolhas, equipamento de RF monopolar com a tecnologia própria.
Não é um desafio fácil. Mas, mesmo sendo difícil, é um caminho que deve ser tomado.
A Tentech não escolherá o caminho fácil. Mesmo que seja difícil, andaremos ao caminho necessário.
Através da criação, inovação e desafio constante, a Tentech dará um salto para se tornar uma empresa global de equipamentos estéticos
.
História da Nossa Empresa
KOLS

Certificado

4F, 5F Namjeon Building, 326,
Bongeunsa-ro, Gangnam-gu,
Seul, Coreia
SEP: 06103
Telefone: +82-70-4351-1329
Telefone: +82-70-4351-1325
Fax:+82-2-3444-4999
Whatsapp: +82-10-4827-1753
Segunda a Sexta – 09:00 a 18:00
Almoço – 13:00 a 14:00
